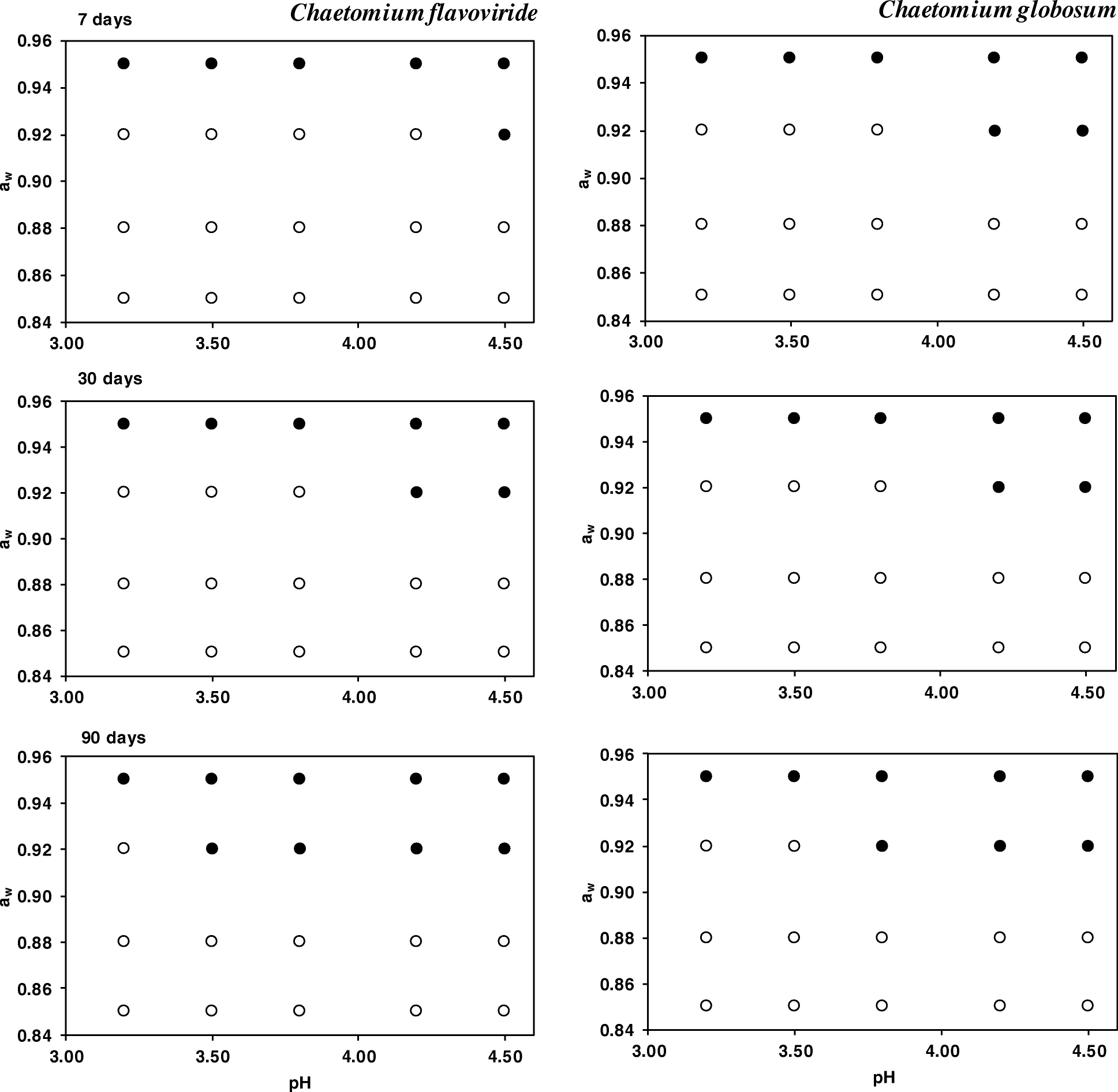
Fig. 1
From: Combined effect of water activity and pH on the growth of food-related ascospore-forming molds

Growth/no growth conditions of Chaetomium flavoviride and Chaetomium globosum as a function of aw, pH, and incubation time (7, 30, and 90 days). Solid symbols indicate microbial growth; open symbols indicate no growth