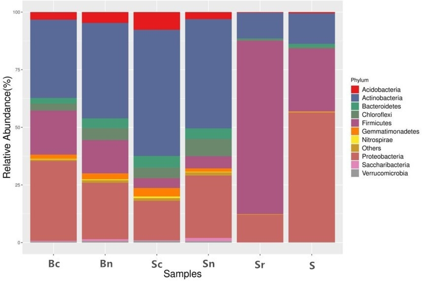
Fig. 4

Relative abundance at phylum level in each sample. Three internal averages of each group were taken to get six columns of OTU tables. Combine the phylum-genera annotations in which each OTU represented the sequence, and the above table. The absolute value of each species at the phylum-genera level was obtained, converted to a percentage, and then plotted. The figure showed the top 10 phyla with the highest total content, while the rest were merged into others