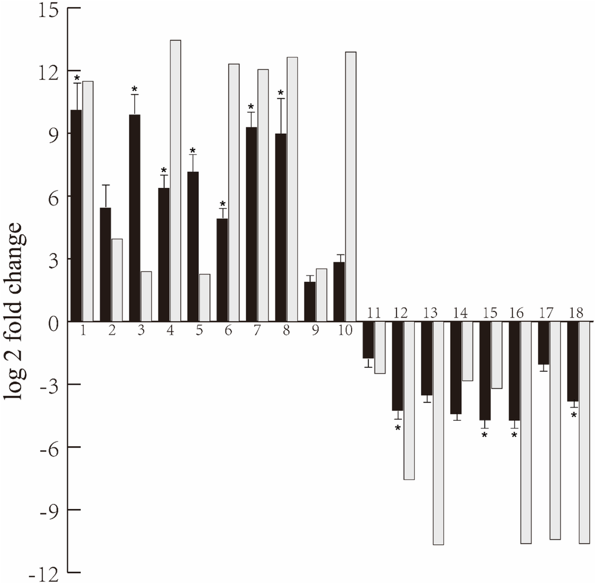
Fig. 3

Comparison of the expression profiles of selected genes as determined by Illumina Hiseq TM 2000 sequencing (grey) and qRT-PCR (black). Error bars indicated standard deviations of averages from three replicates. sRNAs (1–18) represent sRNA0246, sRNA0320, sRNA0411, sRNA0423, sRNA0468, sRNA0530, sRNA0580, sRNA0645, sRNA0703, sRNA1133, sRNA0092, sRNA0188, sRNA0410, sRNA0699, sRNA0987, sRNA1073, sRNA1153, and sRNA1169, respectively